anulare
Afişează rezultate pentru 
Caută în schimb 
Ați dorit să scrieți: 

Apeluri internaționale

radu_muraru7
Junior entuziast

Screenshot_20230622-212003.png

De ce nu mă lasă să sun un Hotel din Bulgaria dacă am minute internaționale?

1 Soluţie acceptată‚

FLo1
#StarMember

Salut @radu_muraru7, ai detalii despre prefixurile acceptate la apelurile de pe prepay aici.

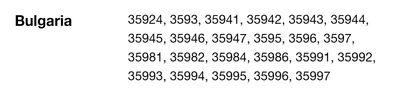
Pentru Bulgaria ai lista mai jos. Dacă nu regăsești prefixul.... regret.

Screenshot_20230622-215749_Chrome.jpg

 Revino pe topic să ne comunici rezultatul căutării. 

Aprecierea unui răspuns ajută o Comunitate și unește pasiuni!

Vizualizare soluţie în postul original

5 Răspunsuri 5

FLo1
#StarMember

Salut @radu_muraru7, ai detalii despre prefixurile acceptate la apelurile de pe prepay aici.

Pentru Bulgaria ai lista mai jos. Dacă nu regăsești prefixul.... regret.

Screenshot_20230622-215749_Chrome.jpg

 Revino pe topic să ne comunici rezultatul căutării. 

Aprecierea unui răspuns ajută o Comunitate și unește pasiuni!

radu_muraru7
Junior entuziast

Aaa, acum are sens. Voiam sa sun la +35952361089, un hotel care cică e închis de 2 ani. Am rugat un prieten cu abonament să sune și zice că e restricționat numărul. Mulțumesc mult!

La acel link regăsești și lista pentru abonamente, dar nu e mult diferită între țări și regiuni. Poate găsești o altă modalitate de contact a locației. De exemplu, dacă e mobil, poate are Wsapp. Succes. 😉

Aprecierea unui răspuns ajută o Comunitate și unește pasiuni!

radu_muraru7
Junior entuziast

Am o nelămurire. Numărul pe care-l contactam este de Varna cu 359 52. In lista apare 359 5...

Regiunile bulgărești cu 359 5X sunt Dobritch cu 58, Shumen cu 54 și Varna cu 52. De ce nu funcționează?

 

Există și probabilitatea (menționată pe site-ul Orange) ca lista de prefixe să nu fie actualizată. Deci mai sigur afli la dimineață contactând serviciul clienți de aici. Deși, dacă nici de pe abonament nu e ok.... răspunsul va fi destul de clar.

Cum menționam, încearcă o formă scrisă de contact: email, whatsapp, FB, skype, insta etc.

Aprecierea unui răspuns ajută o Comunitate și unește pasiuni!